Huffman Tree,中文名是哈夫曼树或霍夫曼树,它是最优二叉树。
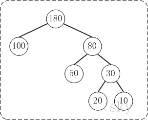
定义:给定n个权值作为n个叶子结点,构造一棵二叉树,若树的带权路径长度达到最小,则这棵树被称为哈夫曼树。这个定义里面涉及到了几个陌生的概念,下面就是一颗哈夫曼树,我们来看图解答。

(01) 路径和路径长度
定义:在一棵树中,从一个结点往下可以达到的孩子或孙子结点之间的通路,称为路径。通路中分支的数目称为路径长度。若规定根结点的层数为1,则从根结点到第L层结点的路径长度为L-1。
例子:100和80的路径长度是1,50和30的路径长度是2,20和10的路径长度是3。
(02) 结点的权及带权路径长度
定义:若将树中结点赋给一个有着某种含义的数值,则这个数值称为该结点的权。结点的带权路径长度为:从根结点到该结点之间的路径长度与该结点的权的乘积。
例子:节点20的路径长度是3,它的带权路径长度= 路径长度 * 权 = 3 * 20 = 60。
(03) 树的带权路径长度
定义:树的带权路径长度规定为所有叶子结点的带权路径长度之和,记为WPL。
例子:示例中,树的WPL= 1*100 + 2*80 + 3*20 + 3*10 = 100 + 160 + 60 + 30 = 350。
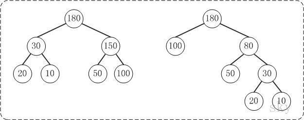
比较下面两棵树

上面的两棵树都是以{10, 20, 50, 100}为叶子节点的树。
左边的树WPL=2*10 + 2*20 + 2*50 + 2*100 = 360
右边的树WPL=350
左边的树WPL > 右边的树的WPL。你也可以计算除上面两种示例之外的情况,但实际上右边的树就是{10,20,50,100}对应的哈夫曼树。至此,应该堆哈夫曼树的概念有了一定的了解了,下面看看如何去构造一棵哈夫曼树。
假设有n个权值,则构造出的哈夫曼树有n个叶子结点。 n个权值分别设为 w1、w2、…、wn,哈夫曼树的构造规则为:
1. 将w1、w2、…,wn看成是有n 棵树的森林(每棵树仅有一个结点);
2. 在森林中选出根结点的权值最小的两棵树进行合并,作为一棵新树的左、右子树,且新树的根结点权值为其左、右子树根结点权值之和;
3. 从森林中删除选取的两棵树,并将新树加入森林;
4. 重复(02)、(03)步,直到森林中只剩一棵树为止,该树即为所求得的哈夫曼树。
以{5,6,7,8,15}为例,来构造一棵哈夫曼树。

第1步:创建森林,森林包括5棵树,这5棵树的权值分别是5,6,7,8,15。
第2步:在森林中,选择根节点权值最小的两棵树(5和6)来进行合并,将它们作为一颗新树的左右孩子(谁左谁右无关紧要,这里,我们选择较小的作为左孩子),并且新树的权值是左右孩子的权值之和。即,新树的权值是11。 然后,将"树5"和"树6"从森林中删除,并将新的树(树11)添加到森林中。
第3步:在森林中,选择根节点权值最小的两棵树(7和8)来进行合并。得到的新树的权值是15。 然后,将"树7"和"树8"从森林中删除,并将新的树(树15)添加到森林中。
第4步:在森林中,选择根节点权值最小的两棵树(11和15)来进行合并。得到的新树的权值是26。哈夫曼树带权路径长度 然后,将"树11"和"树15"从森林中删除,并将新的树(树26)添加到森林中。
第5步:在森林中,选择根节点权值最小的两棵树(15和26)来进行合并。哈夫曼树带权路径长度得到的新树的权值是41。 然后,将"树15"和"树26"从森林中删除,并将新的树(树41)添加到森林中。
此时,森林中只有一棵树(树41)。这棵树就是我们需要的哈夫曼树!
本文来自电脑杂谈,转载请注明本文网址:
http://www.pc-fly.com/a/jisuanjixue/article-31856-1.html
当然如果你还给孩子还房贷什么的就没办法了
尤其是军备
其实我也觉得这个确实还不错