
前身节点
前任节点的值小于该节点的值,这是该节点的左子树中的最大值
后续节点

后继节点的值大于该节点的值,这是该节点的右子树中的最小值
因为二叉搜索树遍历的结果是一棵树的节点上的值的升序,所以一个数字的前任节点的值是一个小于它的数字,并且后继节点小于它的较大节点


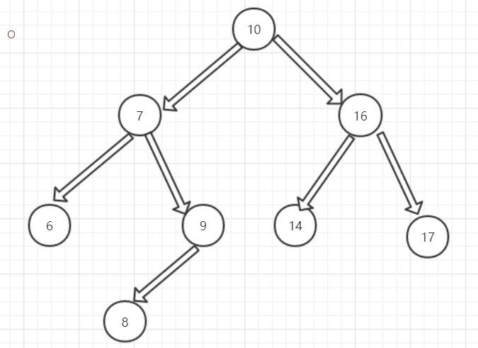
查找前驱节点有以下情况:
(1)此节点有一个左子树,因此该节点的前任节点是其左子树中最大的子树. 例如,10有一个左孩子,而其前任是左孩子中最大的孩子,即8.
(2)节点没有左子树,因此有两种情况: 1.节点是其父节点的右子节点,然后其前任节点是其父节点;例如17的前身是16

2. 该节点是其父节点的左子节点,因此它必须搜索其祖先,直到发现其祖先是左子节点. 如果找不到,则表示该节点没有前驱节点. 例如,8是左孩子,所以它的前任不是父亲,所以他必须抬头,
它的父亲是他爷爷的正直孩子,所以8的前任应该是他的爷爷7.
查找后继节点具有以下情况:

(1)该节点具有一个右子树,则该节点的后继节点是其右子树中最小的. 例如,10具有一个正确的子树,其后继是最小的正确的子树.
(2)此节点没有右子树,因此也必须在其祖先中找到其后继节点,并且有两种情况: 1.该节点是其父节点的左子树二叉排序树中序遍历,然后是其后继节点是他的父亲; 2.该节点是父节点的左子树,
然后查找,直到您发现该节点的祖先是左子节点. 如果找不到它,则该节点没有后继. 例如二叉排序树中序遍历,图中的17是父亲的正确孩子. 向上看,发现父亲也是其祖父的正直子女,并且其祖父没有父母,因此该节点也没有继任者.
具体的Java实现代码如下:
1 /**
2 * 找给定节点的后继节点
3 * @param node 给定树中的节点
4 * @return 返回该节点存在中序遍历顺序下的后继节点,有则返回后继节点,无则返回null
5 *
6 */
7 public TreeNode successor(TreeNode node){
8 if(node==null){ return null;}
9 //若该节点的右子树不为空,则后继节点就是右子树中的最小关键字节点
10 if(node.rightChild!=null){
11 try {
12 return minElemNode(node.rightChild);
13 } catch (Exception e) {
14 e.printStackTrace();
15 }
16 }
17 //若该节点右子树为空
18 TreeNode parentNode=node.parent;
19 while(parentNode !=null && node==parentNode.rightChild){
20 node=parentNode;
21 parentNode=parentNode.parent;
22 }
23 return parentNode;
24 }
25
26 /**
27 * 找出给定节点的后继节点
28 * @param node 给定节点
29 * @return 后继节点
30 */
31 public TreeNode precessor(TreeNode node) throws Exception {
32 if(node==null){ return null;}
33 //若该节点有左子树,则前驱节点就是左子树中最大的那个
34 if(node.leftChild!=null){return maxElemNode(node.leftChild);}
35 //若该节点没有左子树
36 TreeNode parentNode=node.parent;
37 if(parentNode!=null&&node==parentNode.leftChild){
38 node=parentNode;
39 parentNode=parentNode.parent;
40 }
41 return parentNode;
42 }
原始来源:
本文来自电脑杂谈,转载请注明本文网址:
http://www.pc-fly.com/a/jisuanjixue/article-194959-1.html
说明到了马云时代的一个转折点
要开通的吧