
文本/ @蘑菇鱼(罗熙康)@赵思思
“神经科学的导师计划”专栏
本文是Mentor Project的输出. @赵思家组织的一个小型写作小组指纹测试大脑骗局,目前的成员主要由对神经科学非常感兴趣的七个本科生和硕士生组成. 我会定期发布小组中的一些写作主题和相关文献推荐,这些内容将由成员们自己“宣称”. 阅读材料后,我们将一起讨论框架. 在完成第一稿后,如有必要,我将进行修改,修饰和添加相关内容. 最终发布在此专栏和微信公众号(neuroscienceme)上.
作者排名与学术论文的作者排名相似. 首先,作为“声明人”,作者最终提供了“文章构想+修订”
如果您也有兴趣,可以联系@赵思思家.
耶鲁大学的研究人员指出,每个人的大脑活动都类似于指纹,并且是特定的. (Finn等,2015)
脑指纹?换句话说,您可以通过扫描指纹来确认一个人的身份来扫描大脑吗? !恩,那就对了. 通过使用功能磁共振成像(fMRI),我们可以实时记录每个人的大脑活动.
简而言之,功能磁共振成像是通过测量神经细胞活动引起的血氧含量变化来观察大脑不同区域的活动.
例如,当您躺在扫描仪中时左手手指移动时,我们可以在扫描的下一张图片右侧的红色区域中看到信号的变化.

图1: 功能性MRI. 当左手食指摇动时,大脑活动的区域明显改变. 图片屏幕快照在牛津大学MRI研究中心的介绍视频: “脑部旋转” – NDCN.
虽然执行相同的任务,但我和您的大脑活动很常见,但总会有所不同. 我的大脑活动是否有特殊的个人标记?真的有大脑活动的指纹吗?在执行不同任务时,我的大脑活动是否有此标记?第二天我的大脑指纹还存在吗?
在这项研究中,科学家发现了126名志愿者,进行了6次扫描,每个任务都不相同,分为两天的扫描.
第一天:
第二天:

通过这种方式,我们在六个州收集了一百的大脑活动的“照片”(其余状态被重复收集,必须在两天内拍摄,这很重要. )
然后,为了确认是否有“大脑指纹”,我们可以进行以下“连连看”测试: 根据一个人的一种状态,给您一个人处于某个状态的大脑活动的图像状态126个人的大脑图像以查找此人的图像.
例如,为您提供处于“静止状态1”状态的小花的fMRI图像,请在“情感任务”中找到她对应的fMR图像.
这里,处于“静止状态1”状态的fMRI图像称为“样本”(目标),而处于“情感任务”的Fmri图像称为“候选集”().

图2: 每个任务中收集的fMRI图像均为样本,每个样本对应于3个不同任务的候选集. 请注意,如果样本是在第一天收集的,则应在另一天收集其候选集.
嗯,等等,你怎么找到它?
足智多谋的研究人员将大脑分为268个区域,然后计算了两个区域之间的连接强度(即,这两个区域的fMRi信号与时间的相关系数),然后写了一个268×268矩阵(即矩阵的第i行和第j列表示第i个块区域和第j个块区域之间的连接强度).

图3: 大脑分为268个区域

图4: 对每个任务中收集的功能磁共振成像图像进行重新处理,并成为代表区域之间链接强度的矩阵. 这样研究人员可以比较样本和候选者之间的相似性.
因此,比较两个图像是否属于同一大脑的问题成为比较两个连接强度矩阵的相似性的问题.

注意: 这里两个矩阵的相似性是通过两个矩阵的所有对应列向量的相关系数之和来测量的.
通过这种方式,您只需要找到与候选集中样本最相似的矩阵即可.
--------------------------------------------------- ------------------------------------------------- <
好的,这个想法很强烈,结果如何?

在讨论结果之前,让我们强调一件事. 我们每天对fMRI扫描两次,持续两天,从这两天的每一天中取出它们,并将它们用作候选集和样本集. 共有3×3×2. = 18个选择方法. (图2)
如果将“静止状态1”作为样本,将“静止状态2”作为候选集,则成功预测了126人中的117人,即预测准确率是117/126(92.9%).
“ Resting State 2”作为样本,“ Resting State 1”作为候选集,准确率是119/126(94.4%).
如果选择了其他“样本候选集”组合,则准确率分布在68/126(54.0%)和110/126(87.3)之间.
当您看到这个地方时,您会发现本文的作者是一个标题聚会(摔角台). 直白地说,大脑指纹的荒谬之处在于每个人的大脑的连接强度不同,因此我们可以基于268个细胞的“连接强度矩阵”来判断它是否是同一个人的大脑. 当然,这也是有道理的. 当然,由于各种原因,每个人的大脑连接强度都会有所不同,但这也会随着年龄的增长而改变.
此处的最高准确率仅为94.4%,最低的仅为54%. 至于准确率,如果真的被用作指纹,那不公平的情况可能会层层递进! ! ! (崩溃的脸)
------------------------------------------我是一个坏段线---------------------------------------------
预测结果全部出炉,研究结束了,不是吗? ? ?
不! ! !太天真了! ! !
研究人员做了一件更有趣的事情: 嗯,您说过人脑的连接强度存在个体差异,对吧,那为什么我不将大脑分成几个系统来分别研究其特异性呢?什么? ? ?

只需这样做. 整个大脑268个区域的原始连接矩阵发生了变化: 他们将这268个区域划分为八个系统. 然后逐个系统地考虑. 如果这个系统的个体差异更大,每个人看起来都不同,那么准确率就必须很高. 如果这个系统比较保守,而且每个人看起来都基本相同,那么预测效果肯定会很差.

图5: 划分八个系统
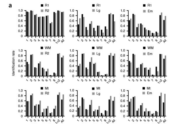
最终预测(图6)发现内侧额叶皮层(内侧额叶,图5中的系统1)和额顶叶(额叶顶叶,图5中的系统2)都是预测. 最好的效果. 换句话说,这两个方面可以最好地反映我们与其他方面的差异.

图6: 八个系统的区域预测. 横坐标表示要预测的系统(图4中的8个选择),其中“ 1 + 2”表示系统1和2的两个系统一起使用. 纵坐标表示预测的准确性. 黑色方块和灰色方块代表与所使用的样本和候选集相对应的任务. R1仍然是1,R2仍然是2,WM是工作记忆任务,Mt是运动任务,Lg是语言任务,Em是情绪任务.
因为与某些较原始的感觉区域相比,这两个系统的连接顺序更高,进化的发展较晚,相对先进,自然个体之间的差异也较大.
额叶顶叶(系统1)是最具体的,这也与负责该区域的功能有关. 您知道,额叶顶叶有一个相当复杂的任务!例如,在不同的任务模式下,思维方式发生了变化(调整了大脑不同区域之间的连接),并且许多跨区域的大脑连接也通过了额叶顶叶. 额叶顶叶在人脑活动中起重要作用. 您会看到,这个人的联系也必须非常复杂,而且自然的特异性会更高.
咳嗽咳嗽,实际上,额叶顶叶也与人类智力有关. . . 所以. . 这里有个大新闻.
--------------------------------------------有关重大新闻仅分隔线---------------------------
咳嗽,是的,如果智力与额叶顶叶有一定的相关性(请记住,相关性不是决定性的!!),我们可以使用额叶顶叶的连接矩阵来预测智力吗? (笑脸)?
研究人员已经预先通过Raven测试测试了每个受试者的流体智力(gF). 什么是流体智能?我们从杜娘那里摘了一段话: “流体智力(Fluid Intelligence)是一种基于生理的认知能力,例如感知,记忆,计算速度,推理能力等. 流体智力是与晶体智力,流体相对应的概念智力会随着年龄的增长而下降. 水晶智力并不会随着年龄的增长而下降. 水晶智力主要是指学习的技能,语言技能,判断力,联想能力等.
在这项研究中,可以假设流体智能是连接强度的线性叠加.

是的!使用该函数,我们接下来需要找到系数(
,
,
,...,
).
126人,选择一个人作为测试对象,其余125人作为“训练集”. 所谓的训练集就是利用125个人的流体智能和不同区域之间的联系强度来找到该公式中的系数(是的,这是您的高中,知道一堆散点,然后找到这些点的线性散点返回). 接下来,将此功能带给第126个人,使用其连接矩阵找到流体智能,并查看该预测值是否与实际流体智能相似. 现在,结果显示在图中. 效果还是很好的.

图7: 将链接情况的预测流体智能(垂直坐标)与实际流体智能(水平坐标)进行比较. 上图: 整个大脑预测的图像,下图: 仅使用额叶顶叶预测的图像.
这里需要强调三点:
好的,好的,让我们总结一下并查找.
好吧,它是紫色的酱,这是一篇简单而有趣的论文.
引用:
Finn,ES,Shen,X.,Scheinost,D.,Rosenberg,MD,Huang,J.,Chun,MM指纹测试大脑骗局,Papademetris,X.,Constable,RT,2015. 功能连接套指纹: 使用脑部模式识别个体连接性. Nat Neurosci提前发表. doi: 10.1038 / nn.4135
--------------------------------------------------- -----------------------
感谢@小花同学和一个同学(在我更改错误后,他默默删除了评论,以便我找不到ID),以便您进行认真的更正. 谢谢~~~么么哒((⁄ ⁄•⁄ω⁄•⁄ ⁄)⁄
本文来自电脑杂谈,转载请注明本文网址:
http://www.pc-fly.com/a/tongxinshuyu/article-225759-1.html
收入低的男人也是男人
我不犯人