
比色法实际上是一门学科,涉及光学,显示技术,计算机技术和印刷技术. 当我在学校开设相关课程时,我学习得不好,没想到要工作,但我一直在努力. 我总是必须还钱,所以我在工作中增加了很多作业. 我希望将撰写这一系列文章的过程用作学习的阶段,并总结我已学会与bi的朋友分享的要点. <

.
由于它不是书籍/学术文章,因此在此处直接引用了X度百科全书条目:
颜色是人眼对于不同频率的光的不同感知. 颜色既是客观的(不同频率的光)又是主观的,并且认知上也有差异. 因此,人们对颜色的理解已经经历了很长的过程,直到近代人们对其逐渐完善为止,但是到目前为止,人们仍然不能说他们已经完全理解并准确地表达了颜色,而且许多概念并不那么容易理解. 术语“色彩空间”源自西方的“色彩空间”,也称为“色域”. 在彩色学中,人们建立了各种颜色模型,分别代表一维,二维,三维甚至四维空间坐标来表示某种A颜色,该坐标系统可以定义的颜色范围就是颜色空间. -百度百科色彩空间输入法
以下色彩空间在购买电视/显示器/投影仪时很常见:
sRGB(标准红绿色蓝): Microsoft和HP最初提出的色彩空间标准,主要用于显示器,打印机和Internet.
AdobeRGB: 由软件公司Adobe(一家著名的图像和排版公司,于2005年收购Micro Media,其产品Flash和PDF格式得到广泛使用)开发的色彩空间标准色差小的显示器,该标准用于显示和显示. 印刷. 基本上包括普通的打印CMYK空间,大致来说,AdobeRGB基本上包含50%的可见颜色.
ProPhoto RGB: 著名的影像公司柯达(Kodak,我相信年龄较大的朋友们仍会记住胶片的年代并揭露他们的年龄


)制定了色彩空间标准

sRGB
DCI-P3,大众汽车第一次看到这种色域标准应该出现在Apple的Macbook和iPhone广告中. 与今年的Vivo X21一样,默认的显示和摄影也基于DCI-P3色域. 该标准由数字电影倡议组织(DCI,数字电影促进协会,主要由许多美国电影巨人(包括MGM,迪斯尼,华纳,环球,20世纪福克斯和索尼影业在2002年)组织)定义. 它由美国电影电视工程师协会(SMPTE)作为标准发布.
由于sRGB是最广泛的标准,因此DCI-P3的白点与sRGB不同(数据将在下表中显示). 出于兼容性考虑,Apple和其他公司实际上使用DCI-P3 D65或Display P3.

DCI-P3
Rec.709(BT.709,电视行业标准),是ITU-R(国际电信联盟,通信部门)推荐的颜色标准. 红色,绿色,蓝色和白色点与sRGB相同,因此,有些人会混淆这两个色域,但实际上两者是不同的.

Rec.709中全黑的代码值为16(即0〜16是最暗的亮度),而全白的代码值为235(即235〜255是最亮的),因此使用Rec.709在计算机上播放标准视频(sRGB,全黑编码值为0,全白编码值为255)时,高光和暗部将变得不明显.

Rec.709
进入UHD时代后,Rec.709标准不再满足HDR(高动态范围)的要求,因此ITU-R提出了Rec.2020标准(不仅包括色域,还包括其他一些标准),由于篇幅有限,在此不再赘述.

Rec.2020
多说,只需给出上述色域列表以供参考

目前,sRGB仍然是使用最广泛的标准. 显示器通常带有sRGB色域标记,例如Dell U2417H标准的99%sRGB. 考虑到当前的通用色域显示并不昂贵,建议您购买至少具有90%sRGB的显示器. 那些有打印/排版需求的人可以考虑支持更好的颜色标准的模型,例如AdobeRGB.

JD.com

Dell戴尔UltraSharp U2417H 23.8英寸IPS显示器1349元起
23小时前实时价格已更新
去购买
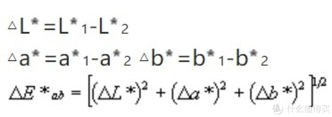
CIE Lab定义亮度差△L,色度△a,△b差和色差△E

看一下公式的开头,只要知道△E越小,看到的颜色与标准颜色之间的偏差就越小. 对于△E的定义,通常每个人都只需要注意平均值△E和最大值△E. 为便于大家理解,这里简要介绍一下△E的度量
△E <1,测得的颜色与人眼的标准颜色基本没有区别(极佳的五星级★★★★★)

1 <△E <3,测得的颜色很难与人眼的标准颜色区分开(优秀的四星★★★★)
3 <△E <6,受过训练的人可以将测得的颜色与标准颜色(常规色差小的显示器,三星★★★)区分开来
6 <△E,人眼可以清楚地区分标准颜色
下图以Calman软件的测试报告为例,介绍了价值朋友(Red Spider等软件的测试报告与此类似)

在放大的图片中,我们可以看到每个测试点与标准颜色的偏差

此外,软件通常还会给出下图. 您可以看到用我的红线标记的点的△E相对较大.

以上测试数据来自最近拆包的ViewSonic VP3268-4K,平均deltaE为1.36,最大deltaE为2.85
本文来自电脑杂谈,转载请注明本文网址:
http://www.pc-fly.com/a/shumachanpin/article-276464-1.html
明白
疑兵之计
打赢了