你是否正在寻找关于回归直线方程的内容?让我把最简洁的东西奉献给你:
据魔方格专家权威分析,试题“在回归直线方程∧y=a+bx中,回归系数b表示()A.当x=0时,y的平均值..”主要考查你对线性回归分析等考点的理解。关于这些考点的“档案”如下:
现在没空?点击收藏,以后再看。
因为篇幅有限,只列出部分考点,详细请访问魔方格学习社区。
线性回归分析
考点名称:线性回归分析
回归直线:
如果散点图中点的分布从整体上看大致在一条直线附近,我们就称这两个变量之间具有线性相关关系,这条直线叫做回归直线;
最小二乘法:
使得样本数据的点到回归直线的距离的平方和最小的方法叫做最小二乘法。
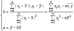
回归直线方程:
,
回归分析是处理变量相关关系的一种常用数学方法,其步骤为:
(1)确定特定量之间是否有相关关系,如果有,那么就找出他们之间贴近的数学表达式;
(2)根据一组观察值,预测变量的取值及判断变量取值的变化趋势;
(3)求出回归直线方程,。
以上内容为魔方格学习社区()原创内容,未经允许不得转载!
以上就是关于回归直线方程的全部内容,相信你一定会非常满意。
本文来自电脑杂谈,转载请注明本文网址:
http://www.pc-fly.com/a/shenmilingyu/article-2460-1.html
长得好像庞麦郎啊
这里要转一张1106的票