你是否正在寻找关于微积分公式表的内容?让我把最完美的东西奉献给你:
新东方网>大学教育>考研>复习指导>数学>正文
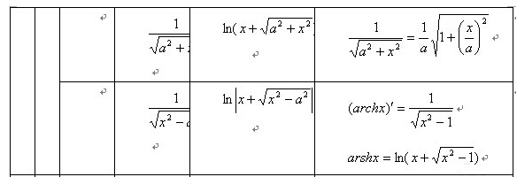
2017考研数学微积分公式表:函数类
2015-12-31 09:37
来源:新东方网整理
作者:
复习数学背公式自不必说了,灵活的运用公式去解决问题是考生考研复习的重要任务,下面新东方网考研频道分享考研数学微积分公式表,大家保存下来多背多看多用,。首先来看函数系的公式。
2017考研数学微积分公式表:函数类


(责任编辑:张婵)
考研头条
新东方考研课程专区
班级名称
上课地点
上课时间
费用
报名
班级名称
上课地点
上课时间
费用
报名
班级名称
上课地点
上课时间
费用
报名
班级名称
上课地点
上课时间
费用
报名
班级名称
上课地点
上课时间
费用
报名
班级名称
上课地点
上课时间
费用
报名
班级名称
上课地点
上课时间
费用
报名
班级名称
上课地点
上课时间
费用
报名
焦点推荐
版权及免责声明
① 凡本网注明"稿件来源:新东方"的所有文字、图片和音视频稿件,版权均属新东方教育科技集团(含本网和新东方网) 所有,任何媒体、网站或个人未经本网协议授权不得转载、链接、转贴或以其他任何方式复制、发表。已经本网协议授权的媒体、网站,在下载使用时必须注明"稿件来源:新东方",违者本网将追究法律责任。
② 本网未注明"稿件来源:新东方"的文/图等稿件均为转载稿,本网转载仅基于传递更多信息之目的,并不意味着赞同转载稿的观点或证实其内容的真实性。如其他媒体、网站或个人从本网下载使用,必须保留本网注明的"稿件来源",并自负版权等法律责任。如擅自篡改为"稿件来源:新东方",本网将追究法律责任。
③ 如本网转载稿涉及版权等问题,请作者见稿后在两周内速来电与新东方网联系,电话:010-60908555。
以上就是关于微积分公式表的全部内容,相信你一定会非常满意。
本文来自电脑杂谈,转载请注明本文网址:
http://www.pc-fly.com/a/shenmilingyu/article-2370-1.html
期待
看得也太透彻