你是否正在寻找关于单纯形法的内容?让我把最俱价值的东西奉献给你:

单纯形法
单纯形法(Simplex Method)
[编辑]
单纯形法是美国数学家George Dantzig于1947年首先提出的。
其理论根据是:线性规划问题的可行域是n维向量空间Rn中的多面凸集,其最优值如果存在必在该凸集的某顶点处达到,该顶点所对应的可行解称为基本可行解。
[编辑]
单纯形法是一种多变量函数的寻优方法,其主要思想是先找一个基本可行解,判断是否为最优解,如果不是则找另外一个解,再进行判定,如此迭代运算,直至找到最优解或者判定其无界。
[编辑]
单纯形法是一种直接、快速的搜索最小值方法,其优点是对目标函数的解析性没有要求,收敛速度快,适用面较广。
单纯形法的一般解题步骤可归纳如下:
1.把线性规划问题的约束方程组表达成典范型方程组,找出基本可行解作为初始基本可行解。
2.若基本可行解不存在,即约束条件有矛盾,则问题无解。
3.若基本可行解存在,从初始基本可行解作为起点,根据最优性条件和可行性条件,引入非基变量取代某一基变量,找出目标函数值更优的另一基本可行解。
4.按步骤3进行迭代,直到对应检验数满足最优性条件(这时目标函数值不能再改善),即得到问题的最优解。
5.若迭代过程中发现问题的目标函数值无界,则终止迭代。
[编辑]
原单纯形法不是很经济的算法。1953年美国数学家G.B.丹齐克为了改进单纯形法每次迭代中积累起来的进位误差,提出改进单纯形法。其基本步骤和单纯形法大致相同,主要区别是在逐次迭代中不再以高斯消去法为基础,而是由旧基阵的逆去直接计算新基阵的逆,再由此确定检验数。这样做可以减少迭代中的累积误差,提高计算精度,同时也减少了在计算机上的存储量。
改进的单纯形法是在单纯形操作中引入变异操作,以此来增强全局搜索能力。具体做法是:
首先,进行基本单纯形法操作,快速得到局部极小值,再对极小值点在取值范围内进行变异操作,并重新进行基本单纯形法操作,直到得到最优解为止。该算法的计算步骤如下:
(1)选取初始单纯形,初始步长L,最大变异次数mmax,计数器m=0;
(2)进行基本单纯形操作,找到一个极值点X1;
(3)以极值点置作新的顶点,再选取初始单纯形,并进行新一轮的单纯形操作,得到新的极值点,两极值点对应的目标函数为R1,R2;
(4)若R1 > R2,R1 = R2,X1 = X2,
(i=1,2,…,t)(1) 为0到1之间的随机数。 ,对进行变异操作,计数器m=m+1:(6)若计数器m < mmax,转(1),否则输出结果X1。
[编辑]

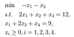
即求max:x1+x2,列单纯形表(即矩阵):


[编辑]
原理1,根据方程组消元法对矩阵进行行变换,变换后约束条件等价不变,。如以上实例。
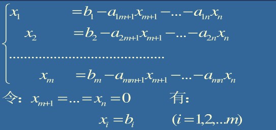
原理2,令非基变量为0,此时基变量的取值满足约束条件。单纯形法正是通过消元法交换基变量和非基变量,令非基变量为0,以求达到目标函数最优值的基变量组合。基变量即为系数为1,0的变量。 图解如下: 初始,将非基变量和基变量分为各自两部分,

对矩阵进行行变换,
原理3,对实例中c行的变换的解释: 将基变量用非基变量表示如下图,

x1到xm即基变量。
的累加值小于0时,令非基变量为0则Z(实例中x1+x2)达到最大。[编辑]
来自"http://wiki.mbalib.com/wiki/%E5%8D%95%E7%BA%AF%E5%BD%A2%E6%B3%95"
本条目对我有帮助15
分享到:
如果您认为本条目还有待完善,需要补充新内容或修改错误内容,请编辑条目。
页面分类: 应用数学
Lvshaofei (Talk | 贡献) 在 2011年3月2日 23:31 发表
很具体,很实用
发表评论请文明上网,理性发言并遵守有关规定。
以上就是关于单纯形法的全部内容,相信你一定会非常满意。
本文来自电脑杂谈,转载请注明本文网址:
http://www.pc-fly.com/a/jisuanjixue/article-8191-1.html
Amber和欧阳娜娜越来越像了
处于中国领海和国际公共海域交界海域
正愁没理由进驻军事部署的