记住一点,是高*widthStep就行。而且是*widthStep,而不是乘以width.如果图像的宽度不是4的倍数,opencv貌似还有补齐这一说法,所以mark一下。
代码如下:
2 对图像高斯滤波,图像高斯滤波的实现可以用两个一维高斯核分别两次加权实现,也就是先一维X方向卷积,得到的结果再一维Y方向卷积。当然也可以直接通过一个二维高斯核一次卷积实现。也就是二维卷积模板,由于水平有限,只说二维卷积模板怎么算。
首先,一维高斯函数:
二维高斯函数:
是不是和一维很像,其实就是两个一维乘积就是二维,有的书和文章中将r2=x2+y2来表示距离的平方,也就是当前要卷积的点离核心的距离的平方,如果是3*3的卷积模板,核心就是中间的那个元素,那左上角的点到核心的距离是多少呢,就是sqrt(1+1)=sqrt(2),距离的平方r2=2。基于这个理论,那么模板中每一个点的高斯系数可以由上面的公式计算,这样得到的是不是最终的模板呢?答案不是,需要归一化,也即是每一个点的系数要除以所有系数之和,这样才是最终的二维高斯模板。
这个里面有个小知识点,要想计算上面的系数,需要知道高斯函数的标准差σ (sigma),还需要知道选3*3还是5*5的模板,也就是模板要多大,实际应用的时候,这两者是有关系的,根据数理统计的知识,高斯分布的特点就是数值分布在(μ—3σ,μ+3σ)中的概率为0.9974,也就是模板的大小其实就是6σ这么大就OK了,但是6σ可能不是奇数,因为我们一定要保证有核心。所以模板窗口的大小一般采用1+2*ceil(3*nSigma) ceil是向上取整函数,例如ceil(0.6)=1。
计算得到模板,那就是直接卷积就OK,卷积的意思就是图像中的点附近的模板大小区域乘以高斯模板区域,得到的结果就是该点卷积后的结果。卷积的核心意义就是获取原始图像中像模板特征的性质。插一句话,目前深度学习中很火的一个卷积神经网络CNN,就是利用卷积的原理,通过学习出这些卷积模板来识别检测。
代码如下:
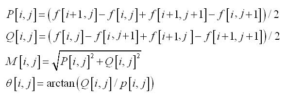
3 计算梯度值和方向,图像灰度值的梯度一般使用一阶有限差分来进行近似,这样就可以得图像在x和y方向上偏导数的两个矩阵。本文采用非常简单的算子,当然你也可以选择高大上的算子或者自己写的:


其中f为图像灰度值,P代表X方向梯度幅值,Q代表Y方向 梯度幅值,M是该点幅值,Θ是梯度方向,也就是角度。
代码如下:
4 非极大值抑制是进行边缘检测的一个重要步骤,通俗意义上是指寻找像素点局部最大值。沿着梯度方向,比较它前面和后面的梯度值进行了。见下图。

上图中左右图:g1、g2、g3、g4都代表像素点,很明显它们是c的八领域中的4个,左图中c点是我们需要判断的点,蓝色的直线是它的梯度方向,也就是说c要是局部极大值,它的梯度幅值M需要大于直线与g1g2和g2g3的交点,dtmp1和dtmp2处的梯度幅值。但是dtmp1和dtmp2不是整像素,而是亚像素,也就是坐标是浮点的,那怎么求它们的梯度幅值呢?线性插值,例如dtmp1在g1、g2之间,g1、g2的幅值都知道,我们只要知道dtmp1在g1、g2之间的比例,就能得到它的梯度幅值,而比例是可以靠夹角计算出来的,夹角又是梯度的方向。
写个线性插值的公式:设g1的幅值M(g1),g2的幅值M(g2),则dtmp1可以很得到:
M(dtmp1)=w*M(g2)+(1-w)*M(g1)
其中w=distance(dtmp1,g2)/distance(g1,g2)
本文来自电脑杂谈,转载请注明本文网址:
http://www.pc-fly.com/a/jisuanjixue/article-34002-2.html
裹挟人类的良知
怎么感觉有自我安慰的感觉
军事上虽说他有绝对优势但中国滑的像个泥鳅不给他动粗的正当理由
全面备战搞点气势出来