又称为二叉查找树。它或者是一棵空树,或者是具有下列性质的二叉树,
1.若它的左子树不空,则左子树上的所有结点的均小于它的根结构
2.若它的右子树不空,则右子树上的所有结点的均大于它的根结点
3.它的左、右子树也分别为二叉排序树。
首先我们提供一个二叉树的结构
typedefstruct BiTNode
{
int data;
struct BiTNode *lchild,*rchild;
}BiTNode,*BiTree
然后我们来看一下二叉排序树的查找是如何实现的
/*
递归查找二叉排序树T中是否存在key,指针f指向T的双亲,其初始调用为NULL
若查找成功,则指针p指向该数据元素结点,并返回TRUE
否则指针p指向查找路径问的最后一个结点并返回FALSE
*/
StatusSearchBST(BiTree T,int key,BiTreef,BiTree *p)
{
if(!T)
{
*p=f;
return FALSE;
}
else if(key==T->data)
{
*p = T
return TRUE;
}
else if(key<T->data)
{
return SearchBST(T->lchild,key,T,p); //在左子树中查找
}
else
return SearchBST(T->lchild,key,T,p); //在右子树中查找
}
有了二叉排序树的查找函数,那么所谓的二叉排序树的插入,其实也就是将关键字放到树中的合适位置。代码如下
/*
当二叉排序树T中不存在关键字等于key的数据元素时,插入key并返回TRUE,否则返回FLASE
*/
StatusInsertBST(BiTree *T,int key)
{
BiTree p,s
if(!SearchBST(*T,key,NULL,&p))/*查找不成功*/
{
s =(BiTree)malloc(sizeof(BiTNode));
s->data = key;
s->lchild=s->rchild=NULL;
if(!p)
*T = s; //插入s为新的根结点
elseif(key<p->data)
p->lchild = s;
else
p->rchild = s;
return TRUE;
}else
return FALSE;
}
有了二叉排序树的插入代码,我们要实现二叉排序树的构建非常容易了,如下代码
inti
inta[10] = {62,88,58,47,35,73,51,99,37,93};
BiTreeT=NULL;
for(i=0;i<10;i)
{
InsertBST(&T,a[i]);
}
俗话说“请神容易送神难”,我们已经介绍了二叉排序树的查找与插入算法,但是对于二叉排序树的删除,就不是那么容易,我们不能因为删除了结点,而让这棵树变得不满足二叉排序树的特性,所以删除需要考虑多种情况,删除叶子结点没有问题,因为对整个树来说,其他结点的结构并未受到影响。

删除只有左子树或只有右子树的情况,相对也比较好解决,那就是结点删除后,将它的左子树或右子树整个移动到删除结点的位置即可,可以理解为独子继承父业。

但是对于要删除的结点既有左子树又有右子树的情况怎么办呢?


上图这种重新挨个插入效率不高且不说,还会导致整个二叉排序树结构发生很大的变化,有可能会增加树的调试。增加调试可不是个好事,这我们待会再说。
我们仔细观察一下,47的两个子树中能否找出一个结点可以代替47呢?果然有,37或者48都可以代替47,此时在删除47后,整个二叉排序树并没有必生本质的改变。


为什么是37和48?对的,它们正好是二叉排序树中比它小或比它大的最接近47的两个数。也就是说,如果我们对这棵二叉排序树进行中序遍历,得到的序列
{25,35,36,37,47,48,49,50,51,56,58,62,73,88,93,99}
它们正好是47的前驱和后继。
因此比较好的办法就是,找到需要删除的结点p的直接前驱(或直接后继)s,用s来替换结点p,然后再删除此结点s
根据分析 有三种情况:
n 叶子结点
n 仅有左或右子树的结点
n 左右子树都有的结点,我们来看代码,下面这个算法是递归方式对二叉排序树T查找key,查找到时删除
/*
若二叉排序树T中存在关键字等于key的数据元素时,则删除该数据元素结点
并返回TRUE,否则返回FALSE
*/
StatusDeleteBST(BiTree *T,int key)
{
if(!*T) //不存在关键字等于key的数据元素
return FALSE;
else
{
if(key==(*T)->data)
return Delete(T);
else if(key<(*T)->data)
return DeleteBST(&(*T)->lchild,key);
else
return DeleteBST(&(&T)->rchild,key);
}
}
/*从二叉排序树中删除结点p,并重接它左或右子树*/
StatusDelete(BiTree *p)

{
BiTree q,s;
if((*p)->rchild==NULL) //重接左子树
{
q=(*p);*p=(*p)-lchild;free(q);
}
else if((*p)->lchild==NULL)
{
q=*p;*p=(*p)->rchild;free(q);
}
else //左右子树都不为空
{
q=*p;s=(*p)-lchild;
while(s->rchild)
{
q=s;s=s->rchild; /*转左,然后向右到尽头*/
}
(*p)->data=s->data; //s指向被删结点的直接前驱
if(q!=*p)
q->rchild=s->lchild;//重接q右子树
else
q->lchild=s->lchild; //重接q左子树
free(s);
}
return TRUE;
}
1.程序开始执行,代码4~7行的目的是为了删除没有右子树只有左子树的结点。此时只需将此结点的左孩子替换它自己,然后释放此结点内存,就等于删除了。
2.代码第8~11行是同样的道理处理只有右子树没有左子树的结点删除问题。
3.第12~25行处理复杂的左右子树均存在的问题
4.第14行,将要删除的结点p赋给临时的变量q,再将p的左孩子p->lchild赋给临时的变量s。此时q指向47结点,s指向35结点。如图

5.第15~18行,循环找到左子树的右结点,直到右侧尽头。就当前例子来说,就让q指向35,而s指向37这个没有右子树的结点,如图

6.第19行,此时要删除结点p的位置的数据被赋为s->data,即让p->data=37,如图

7.第20~23行,如果p和q指向不同,则将s->lchild赋给q->rchild,否则就是将s->lchild赋给q->lchild。显然这个例子p不等于q,将s->lchild指向的36赋给q->rchild,也就是让q->rchild指向36结点,如图
8.第24行,free(s),就非常好理解了,将37结点删除,

从这段代码也可以看出,我们其实是在找删除结点的前驱结点替换的方法,对于后继结点来替换,方法上是一样的
二叉排序树是以树是以链接的方式存储,保持了链接存储结构在执行插入或删除操作时不用移动元素的优点,只要找到合适的插入和删除位置后,仅需要修改链接指针即可。插入删除的时间性能比较好。而对于二叉排序树的查找,走的就是人根结点到要查找的结点的路径,其比较次数等于给定的结点在二叉树的层数。二叉排序树的删除极端情况,最少为1次,最多也不超过树的深度。二叉排序树的删除也就说,二叉排序树的查找性能取决于二叉排序树的形状。
如图

{62,88,58,47,35,73,51,99,37,93}这样的数组,我可以表示为上图左图的二叉排序树。
但如果数组元素的次序是从小到大的有序,如
{35,37,47,51,58,62,73,88,93,99},则二叉排序树就成了极端的右斜树,注意它依然是一棵二叉排序树,如上图右。同样去找99。左图比较两次,右图要比较10次。二者差异很大的
也就是说,我们希望二叉排序树是比较平衡的,即其深度与完全二叉树相同,均为,那么查找时间复杂度也就是O(logn),近折半查找,不平衡的最坏情况就像上图右的斜树,查找时间复杂度为O(n),这等同于顺序查找。因此,如果我们希望对一个集合按二叉排序树查找,最好是把它构建成一棵平衡的二叉排序树。看下面
平衡二叉树(Self-BlancingBinary SearchTree 或 Height-BlancedBinarySearch Tree)是一种二叉排序树,其中每个节点的左子树和右子树的高度差至多等于1。
我们将二叉树上结点的左子树深度减去右子树深度的称为平衡因子BF(BalanceFactor)
那么平衡二叉树上所有结点的平衡因子只可能是-1、0、1。只要二叉树上所有结点的平衡因子的绝对大于1,则该二叉树就是不平衡的。如图

为什么上图1是平衡二叉树,图2不是?这就考查我们对平衡二叉树的定义的理解,它的前提首先是一棵二叉排序树。
图3不是的原因是,结点左子树高度是3,右是0,差大于1啦。不符合定义。
距离插入结点最近的,且平衡因子的绝对大于1的结点为根的子树,我们称为最小不平衡树。如图

新插入结点37时,距离它最近的平衡因子绝对超过1的结点是58,所以从58开始以下的子树为最小不平衡子树。
平衡二叉树构建的基本思想就是在构建二叉排序 树的过程中,每当插入一个结点时,先检查是否因插入而破坏了树的平衡性,若是,则找出最小不平衡子树。在保持二叉排序树特性的前提下,调整最小不平衡子树中各结点之间的链接关系,进行相应的旋转,使之成为新的平衡子树。
为了在学习算法时能够轻松一些,我们先讲一个平衡二叉树的构建过程。如
{3,2,1,4,5,6,7,10,9,8}需要构建二叉排序树。在没有学习平衡二叉树之前,根据二叉排序树的特性,我们通常会将它构建成下图左

虽然符合二叉排序树的定义,但是对这样的高度达到8的二叉树来说,查找是非常不利的。我们更期望能构建右图那的二叉排序树。
对于数组{3,2,1,4,5,6,7,10,9,8}的前两们3和2,我们很正常地构建,到了第3个数时“1”时,发现此时根结点“3”的平衡因子变成了2,此时整棵树都成了最小不平不平衡子树,因此需要调整,如图,结点左上角的数字为平衡因子BF。因为BF为正,因此我们将整个树进行右旋(顺时针旋转),此时结点2成了根结点,3成了2的右孩子这样三个结点的BF均为0。非常平衡如图2

然后我们再增加结点4,平衡因子没有超出限定范围,如图3

增加结点5时,结点3的BF为-2说明要旋转了。由于BF是负,所以我们对这棵最小不平衡子树进行左旋(逆时针旋转)图4

继续,增加结点6时,发现根结点2的BF变成了-2,如下图6。所以对根结点进行了左旋,注意此时本来结点3是4的左孩子,由于旋转后需要满足二叉排序树特性,因此它成了结点2的右孩子,如图7。增加结点7, 同样的左旋转,使得整棵树达到平衡,如图8,图9

当增加结点10时,结构无变化,如图10。

再增加结点9,此时结点7的BF的变成了-2,理论上我们只需要旋转最小不平衡子树7、9、10即可,但是如果左旋转后,结点9就成了10的右孩子,这不符合二叉排序树的特性的。此时不能简单的左旋。
仔细观察图11,发现根本原因在于结点7的BF是-2,而结点10的BF是1,也就是说,它们俩一正一负,符号并不统一,而前面几次旋转,无论左还是右旋,最小不平衡树的根结点与它的子结点符号都是相同的。这就是不能直接旋转的关键。
不统一,就将其统一。于是我们对结点9和结点10进行右旋,使得结点10成为9的右子树,结点9的BF为-1,此时就与结点7的BF符号统一了,如图12
这样我们再以结点7为最小不平衡树进行左旋,得到图13。

接着插入8,情况与赐教类,结点6的BF是-2,而它的右孩子9的BF是1,因此首先以9为根结点,进行右旋,得到图15.此时结点6,7的符号都是负的,再以结点6为根结点左旋,最终得到最后的平衡二叉树,如图

首先是需要改进二叉排序树的结点结构,增加一个bf,用来存储平衡因子。
typedefstruct BiTNode
{
int data;
int bf;
struct BiTNode *lchild,*rchild;
}BiTNode,*BiTree;
然后对右旋操作,代码如下
/*对以p为根的二叉排序树作右旋处理,处理之后,p指向新的根结点,即处理之前的左子树的根结点*/
voidR_Rotate(BiTree *P)
{
BiTree L;
L = (*P)->lchild;
(*P)-lchild=L->rchild;
L-rchild=(*P);
(*P) = L; //P指向新的根结点
}
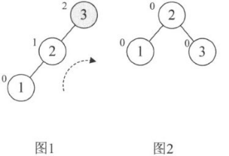
此函数代码的意思就是,当传入一个二叉排序树P,将它的左孩子结点定义为L,将L的右子树变成P的左子树,再将P改成L的右子树,最后将L替换P成为根结点。这样就完成了一次右旋操作,如下图:

左旋操作代码哪下:
voidL_Rotate(BiTree *P)
{
BiTree R;
R= (*P)->rchild;
(*P)->rchild=R->lchild; //R的左子树挂为P的右子树
R->lchild=(*P);
*P=R;
}
左平衡旋转处理的函数代码
#defineLH 1; //左高
#defineEH 0; //等高
#defineRH -1; //右高
/*
对于指针T所指结点为根的二叉树作左平衡旋转处理
本算法结束时,指针T指向新的根结点
*/
voidLeftBalance(BiTree *T)
{
BiTreeL,Lr;
L=(*T)->lchild; //指向T的左子树根结点
switch(L->bf)
{
//检查T的碟子树的平衡度,并作相应的平衡处理
case LH://新结点插入在T的左孩子的左子树上,要作单右旋处理
(*T)->bf=L->bf=EH;
R_Rotate(T);
break;
case RH://新结点插入在T的左孩子的右子树上,要作双旋处理
Lr = L->rchild;//Lr指向T的左孩子的右子树根
switch(Lr->bf) //修改T及其左孩子的平衡因子
{
case LH:(*T)->bf=RH;
L->bf=EH;
break;
case EH:(*T)->bf=EH;
break;
case RH:(*T)->bf=EH;
L->bf=LH;
break;
}
Lr->bf=EH;
L_Rotate(&(*T)->lchild); //对T的左子树作左旋平衡处理
R_Rotate(T); //对T作右旋平衡处理
}
}
首先定义了三个常数变量,分别代表1、0、-1
1.函数被调用,传入一个需要调整平衡性的子树T。由于LeftBalance函数被调用时,其实是已经确认当前子树是不平衡状态,且左子树的高度大于右子树的高度。换句话说,此时T的根结点应该是平衡因子BF的大于1的数
2.第4行,我们将T的左孩子赋给L
3.第5~27行是分支判断
4.当L的平衡因子为LH,即为1时,表明它与根结点的BF符号相同,因此,第8行,将它们的BF都改为0,并且第9行,进行右旋操作。
5.当L的平衡因子为RH,即-1时,表明它与根结点的BF符号相反,此时需要做双旋处理。针对L的右孩子Lr的BF作判断,修改根结点T和L的BF。第24行当前Lr的BF改为0
6.对根结点的左子树进行左旋
7.对根结点进行右旋,完成平衡操作。
同样的,右平衡旋转处理的函数代码非常类,略()
接下来我们来看看主函数
/*
若在平衡二叉排序树T中不存在和e相同的关键字,则插入一个数据元素e的新结点并返回1,否则返回0。若因插入而使二叉排序对失去平衡,则作平衡旋转处理,布尔变量taller反应T长高与否
*/
Status InsertL(BiTree *T,inte,Status *taller)
{
if(!*T)
{//插入新结点,树”长高”,置taller为TRUE
*T=(BiTree)malloc(sizeof(BiTNode));
(*T)->data=e;
(*T)->lchild = (*T)->rchild=NULL;
(*T)->bf=EH;
*taller = TRUE;
}else{
if(e==(*T)->data){//树中已存在e有相同关键字的结点则不再插入
*taller=FALSE;
return FALSE;
}
if(e<(*T)->data){
//继续在左子树中搜索
if(!InsertL(&(*T)->lchild,e,taller))
return FALSE;
if(*taller) //已插入到T的左子树中
{
switch((*T)->bf)
{
case LH:
LeftBalance(T);
*taller = FALSE;
break;
case EH:
(*T)->bf=LH
*taller=TRUE;
break;
case RH:
(*T)->bf=EH;
*taller = FALSE;
break;
}
}
}else{ //应继续在右子树中进行搜索
if(!InsertL(&(*T)->rchild,e,taller))
returnFALSE;
if(*taller){ //插入…长高
switch((*T)->bf)
{
case LH:
(*T)->bf=EH
*taller = FALSE;
break;
case EH:
(*T)->bf=RH
*taller=TRUE;
break;
case RH:
RightBalance(T);
*taller = FALSE;
本文来自电脑杂谈,转载请注明本文网址:
http://www.pc-fly.com/a/jisuanjixue/article-30073-1.html
升级后信号只有一格