
在前面,我们学习了一些有关树木以及更重要的二叉树的特征的概念.
现在,我们向二叉树添加另一个限制,然后我们可以形成二叉搜索树.
首先让我们简要地了解什么是二叉搜索树.
以下哪些是二进制搜索树,哪些不是?
img
二叉搜索树的特征:
现在,我们使用代码来实现二进制搜索树.
对于BinarySearchTree,您只需保存根节点,因为可以通过根节点找到其他节点. 在代码中的insertNode方法中,我们尚未实现它,这是我们接下来要完成的任务.
插入非根节点
BinarySerachTree.prototype.insertNode = function (node, newNode) {
if (newNode.key < node.key) { // 1.准备向左子树插入数据
if (node.left === null) { // 1.1.node的左子树上没有内容
node.left = newNode
} else { // 1.2.node的左子树上已经有了内容
this.insertNode(node.left, newNode)
}
} else { // 2.准备向右子树插入数据
if (node.right === null) { // 2.1.node的右子树上没有内容
node.right = newNode
} else { // 2.2.node的右子树上有内容
this.insertNode(node.right, newNode)
}
}
}
代码分析:
代码的数字1位置是准备将数据插入到左子树中. 但是,它分为两种情况. 该代码的数字2位置与数字1位置几乎相同,但是它位于右侧. <
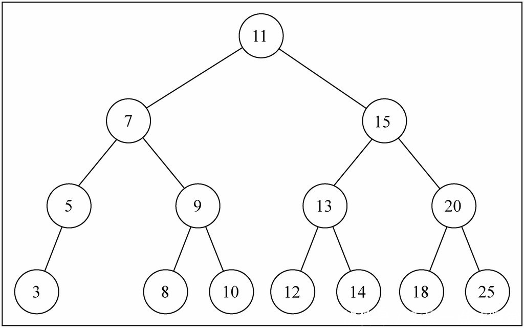
测试代码: 如果按照以下代码插入,最终会形成什么样的树?
// 测试代码
var bst = new BinarySerachTree()
// 插入数据
bst.insert(11)
bst.insert(7)
bst.insert(15)
bst.insert(5)
bst.insert(3)
bst.insert(9)
bst.insert(8)
bst.insert(10)
bst.insert(13)
bst.insert(12)
bst.insert(14)
bst.insert(20)
bst.insert(18)
bst.insert(25)
形成的树
img

如果这时我插入一个新数据6,插入位置和顺序应该是什么?
bst.insert(6)
新树:
img
树的遍历:
穿越过程:
img
遍历的代码实现
BinarySerachTree.prototype.preOrderTraversal = function (handler) {
this.preOrderTranversalNode(this.root, handler)
}
BinarySerachTree.prototype.preOrderTranversalNode = function (node, handler) {
if (node !== null) {
// 1.打印当前经过的节点
handler(node.key)
// 2.遍历所有的左子树
this.preOrderTranversalNode(node.left, handler)
// 3.遍历所有的右子树
this.preOrderTranversalNode(node.right, handler)
}
}
按顺序遍历代码的示例:
img
穿越过程:
img
遍历的代码实现:
// 中序遍历
BinarySerachTree.prototype.inOrderTraversal = function (handler) {
this.inOrderTraversalNode(this.root, handler)
}
BinarySerachTree.prototype.inOrderTraversalNode = function (node, handler) {
if (node !== null) {
this.inOrderTraversalNode(node.left, handler)
handler(node.key)
this.inOrderTraversalNode(node.right, handler)
}
}
测试代码:

// 测试中序遍历结果
resultString = ""
bst.inOrderTraversal(function (key) {
resultString += key + " "
})
alert(resultString) // 3 5 6 7 8 9 10 11 12 13 14 15 18 20 25
代码分析:
代码中的顺序遍历图:
img
穿越过程:
img
遍历的代码实现:
// 后续遍历
BinarySerachTree.prototype.postOrderTraversal = function (handler) {
}
BinarySerachTree.prototype.postOrderTraversalNode = function (node, handler) {
if (node !== null) {
this.postOrderTraversalNode(node.left, handler)
this.postOrderTraversalNode(node.right, handler)
handler(node.key)
}
}
测试代码:
// 测试后续遍历结果
resultString = ""
bst.postOrderTraversal(function (key) {
resultString += key + " "
})
alert(resultString) // 3 6 5 8 10 9 7 12 14 13 18 25 20 15 11
后续遍历
后续代码遍历的例证:
img
它也可以使用递归来实现数据结构二叉排序树,但是在这里不是必须的,但是递归增加了代码的复杂性.
代码测试:
// 获取最值
alert(bst.min()) // 3
alert(bst.max()) // 25

在其他情况下,根据节点的密钥. 以及传入的键来确定是向左看还是向右看.
测试代码:
// 查找特定的值
alert(bst.search(10)) // true
alert(bst.search(21)) // false
非递归代码实现:
BinarySerachTree.prototype.search = function (key) {
var node = this.root
while (node !== null) {
if (node.key > key) {
node = node.left
} else if (node.key < key) {
node = node.right
} else {
return true
}
}
return false
}
递归还是循环?
二进制搜索树的删除有些复杂. 为了让每个人都更清楚地理解该原理数据结构二叉排序树,我将分别解释这一部分.
首先寻找要删除的节点
// 删除结点
BinarySerachTree.prototype.remove = function (key) {
// 1.定义临时保存的变量
var current = this.root
var parent = this.root
var isLeftChild = true
// 2.开始查找节点
while (current.key !== key) {
parent = current
if (key < current.key) {
isLeftChild = true
current = current.left
} else {
isLeftChild = false
current = current.right
}
// 如果发现current已经指向null, 那么说明没有找到要删除的数据
if (current === null) return false
}
return true
}
代码分析:
在上面代码2的位置,开始搜索相应的密钥.
说明过程:
代码实现如下:
// 3.删除的结点是叶结点
if (current.left === null && current.right === null) {
if (current == this.root) {
this.root == null
} else if (isLeftChild) {
parent.left = null
} else {
parent.right = null
}
}
代码分析:
说明过程:

img
代码实现如下:
// 4.删除有一个子节点的节点
else if (current.right === null) {
if (current == this.root) {
this.root = current.left
} else if (isLeftChild) {
parent.left = current.left
} else {
parent.right = current.left
}
} else if (current.left === null) {
if (current == this.root) {
this.root = current.right
} else if (isLeftChild) {
parent.left = current.right
} else {
parent.right = current.right
}
}
代码分析:
如果分析清楚,则相对简单.
首先考虑一下我的一些问题:
img
首先,让我们总结一下删除两个节点的规则:
如何找到该节点?前任和后继者将删除具有两个子节点的当前节点,或者找到其前任或后继者. 所以,接下来,我们首先找到一个这样的节点(前任或后任者都很好,我将在这里寻找后任者作为示例)
查找后继代码实现:
// 找后继的方法
BinarySerachTree.prototype.getSuccessor = function (delNode) {
// 1.使用变量保存临时的节点
var successorParent = delNode
var successor = delNode
var current = delNode.right // 要从右子树开始找
// 2.寻找节点
while (current != null) {
successorParent = successor
successor = current
current = current.left
}
// 3.如果是删除图中15的情况, 还需要如下代码
if (successor != delNode.right) {
successorParent.left = successor.right
successor.right = delNode.right
}
return successor
}
代码分析:
查找后续处理代码:
// 5.删除有两个节点的节点
else {
// 1.获取后继节点
var successor = this.getSuccessor(current)
// 2.判断是否是根节点
if (current == this.root) {
this.root = successor
} else if (isLeftChild) {
parent.left = successor
} else {
parent.right = successor
}
// 3.将删除节点的左子树赋值给successor
successor.left = current.left
}
代码分析:
要求3: 要从判决中提取后继者. left= current.left.
回头看待办事项
完成它,结束工作!!!上面的方法看起来很聪明,但实际上是一种转义.
本文来自电脑杂谈,转载请注明本文网址:
http://www.pc-fly.com/a/jisuanjixue/article-242898-1.html
有没有给美帝抓住的内容