![]()
问题所在试卷的参考答案:
试卷答案
1.B
2. C电源的电动势和内阻
A. 电压表由内部电阻制成,在连接到电源后会形成一条路径. 它测量电压表的内部电阻的电压,因此电压表在电源两极之间测得的电压略小于电动势. 因此,一个错误.
B. 电动势反映了其自身的特性,与外部电路的结构无关. 因此,BD错误.
C. 电动势的物理含义是指示电源将其他形式的能量转换为电能的功率. 电动势越大,功率越大. 因此,C是正确的.
已选择: C.
3. 电流和电压的概念
当杆沿轴向以恒定速度直线移动时,每秒经过的距离为v米. 每秒v米长的橡胶杆上的电荷通过直杆的横截面,并每秒通过横截面的横截面. 电量Q = q•v,根据电流I =
![]()
,t = 1s,得到: I = qv.
所以A是正确的,而BCD是错误的.
已选择: A
4.C在均匀电场中电势差与电场强度之间的关系;势能
A. 电压和电动势的单位相同,但物理意义不同,它们是两个不同的物理量. 因此,一个错误.
B. 根据闭环的欧姆定律,端电压U = E﹣Ir,仅当外部电路断开时I = 0时,端电压才等于电动势. 因此,B错误.

C. 电源是将其他形式的能量转换为电能的设备. 电动势反映了电源的功率,可将其他形式的能量转换为电能. 因此,C是正确的.
D,EMF公式E =
![]()
W in
是非静态力,电压U =
![]()
W静态输入
是通过静电力完成的功. 所以D是错的.
已选择: C.
5. 解决方案: 根据闭环的欧姆定律: U = E﹣Ir,当I = 0时,U = E电风扇功率一般多大,因此图像和垂直轴的交点等于电源的电动势,并且斜率是等于电源. 阻碍.
根据数学知识: E A = E B,r A> r B.
已选择: A
6. 解决方案: 图A和A所示的电路是电流表的外部方法. 当用于测量电阻时,测量值是要测量的电阻Rx与电压表的内部电阻的并联电阻值. ,所以出现错误;
B. 图B所示的电路是电流表的内部连接方法. 用于测量电阻时,测量值R实测= Rx + RA> Rx,B正确;
C. 电流表的内阻很小,被测电阻RX接近于电流表,则被测电阻很小,因此选择图A的误差很小,所以C是错误的;
D. 电压表的内部电阻越大,测得的电阻RX就越接近电压表,因此B图的误差应选择小. 所以D是错的.
已选择: B.

7. 伏安法测量电阻
解决方案: (1)根据所示的电路图,要测试的电阻与滑动变阻器串联,电压表与要测量的电阻并联,并且电阻两端的电压为已测量;
滑块向右移动,电压指示数字变大,表示被测电阻器的分压变大,滑动变阻器的分压变小,
将变阻器右半部分的电阻线连接到电路,然后将F连接到C或D端子,将E连接到B端子.
(2)通过改变连接到电路的电阻线的长度以增加电路中的电流,从而增加Rx两端的电压来减小电路中电阻的方法.
所以答案是: (1)C或D; B; (2)电流;电压
8.40.25电风扇功率一般多大,0.229mm,9Ω.
伏安法测量电阻;探索汽车速度随时间变化的规律
解决方案: 秤的读数为: 40.25cm,
螺旋千分尺的固定刻度读数为0mm,活动刻度读数为0.01×22.9mm = 0.229mm,因此最终读数为0.229mm.
被测电阻器的电阻为9×1 =9Ω
答案是: 40.25,0.229mm,9Ω.
9.1.0×1020
q = It = 0.5×30 C = 15 C
n =
![]()
=

![]()
≈1.0×1020(个).
10. 解决方案: (1)P = UI
得到: 我═
![]()
= 0.3A
(2)加热功率Pheat = I2R
P out = P﹣P hot
可用: P输出= 65.1w
(3)风扇被卡住,成为纯电阻电路
P1 =
![]()
= 4840w
答案: (1)流过电动机的电流为0.3A
(2)电风扇转换为机械能的功率为65.1W
(3)如果连接了220V电源,则风扇叶片被卡住并且无法旋转,电风扇消耗的电力为4840w
11.

分析:
(1)根据欧姆定律找到通过R的电流;
(2)电动机的输入功率为P1 = U2I;
(3)电动机内部电阻的加热功率为P2 = I2r,输出机械功率为P3 = P1﹣P2. 物体的质量通过公式P3 = Fv = mgv求解.
答案:
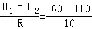
解决方案: (1)通过R的电流
![]()
我=
![]()
A = 5A;
(2)电机输入功率P1 = U2I = 110×5W = 550W,
(3)电机内阻的加热功率P2 = I2r = 52×0.8W = 20W,
输出机械功率P3 = P1﹣P2 =(550﹣20)W = 530W;
P3 = Fv = mgv
已解决: m =
![]()
= 53kg
答案: (1)通过R的电流为5A; (2)输入电机的功率为550W; (3)如果电动机以v = 1m / s的恒定速度垂直提起重物,则该重物的重量为53kg.
本文来自电脑杂谈,转载请注明本文网址:
http://www.pc-fly.com/a/dianqi/article-208643-1.html
这砖家算是在宣传反动
水军太多了