
为什么不能拿电视机作为电脑显示器使用,这就要说到显示器和电视机的区别了。别看电视机和显示器都是用液晶显示面板,但两者之间还是有很大区别的。
价格差异
我们先来看看显示器和电视机价格上的区别,同尺寸明显电视机的价格更便宜。
电视机: 因为电视和显示器定位不同,目前液晶电视的尺寸跨度比较大。液晶电视基本分为了32吋及以下市场和32吋以上的市场,19吋、24吋等基本都没有热度了,毕竟32吋的电视也才千元不到的价格,而从32吋往上,我们则直接看到40吋的大尺寸,而且只有40吋的一个尺寸才有了1080P及以上的分辨率。这是因为电视机实用远距离观看,对于尺寸小范围上的变化不太敏感,所以基本都是30吋、40吋、50吋在尺寸上跨度比较大。

lx850a作为一款具有划时代意义的产品,定位于高端市场,其尺寸也直接从60吋起跳,拥有60吋、70吋和80吋三个规格。① 尺寸区别:投影机强调大屏幕视觉体验,家用环境中起始屏幕尺寸100吋(4个50吋电视大小),大画面、沉浸感、带入感是投影显示画面的优势所在,而电视机强调中小尺寸观赏体验,目测能够大范围普及的最大尺寸也就75吋上下,与投影机在画面尺寸定位上明显拉开距离,这种定位上的差异在短时间内不会改变。尺寸段涵盖,40吋、43吋、50吋、55吋、65吋等主流尺寸段,用户可以根据自己的实际需求购买。

画面拼接器又称电视墙控制,电视墙拼接器,显示墙拼接器,拼接墙控制器,多屏处理器,多屏拼接处理器,显示墙拼接器,大屏幕处理器,数码拼接处理器,多屏图象处理器,显示墙处理器,主要功能是将一个完整的图像信号划分成n块后分配给n个视频显示单元(如背投单元),完成用多个普通视频单元组成一个超大屏幕动态图像显示屏,可以支持多种视频设备的同时接入,如:dvd 摄像机 卫星接收机 机顶盒 标准计算机a信号.电视墙处理器可以实现多个物理输出组合成一个分辨率叠加后的超高分辨率显示输出,使屏幕墙构成一个超高分辨率,超高亮度,超大显示尺寸的逻辑显示屏,完成多个信号源(网络信号rgb信号和视频信号)在屏幕墙上的开窗 移动 缩放等各种方式的显示功能。超声波捕鱼机价格超声波捕鱼器厂家电子捕鱼器批发电子捕鱼机价格捕鱼器商城捕鱼机械捕鱼机销售新型捕鱼器致富捕鱼器捕鱼机价格捕鱼器价格捕鱼机批发捕鱼器公司大功率捕鱼机大功率捕鱼器海上捕鱼机超声波扑鱼机超声波扑鱼器打鱼机价格打鱼器价格捕鱼器生产厂家捕鱼机生产厂家 捕鱼器厂家捕鱼机厂家捕鱼器批发批发捕鱼机批发捕鱼器捕鱼用具。机背液晶屏对角线3英寸,长宽比为3:2,尺寸并没有变,但像素提升了一倍,达到92万点,分辨率为640x480,因此屏幕的显示精度获得了质的的提升,相比gf3以及gx1,gf5的显示效果获得了很显著地进步。
比如我们2000元的价位挑选一台中高端显示器可能只能选择到32吋的2K显示器,但如果是2000元我们就能可以开始挑选到50吋4K分辨的电视机了。
小结:
电视机的价格确实会更低,甚至同价格下我们能买到更大尺寸更高分辨率的电视。
画面细腻程度差异
显示器尺寸小但高分辨率


需要指出的一点是,d端子是日本独有的特殊接口,国内电视几乎没有带这种接口的,最多的是色差接口,而色差接口最多支持到d4,理论上肯定没有hdmi(纯数字信号,支持到1080p的最高清晰度高,但在1920:1080以下分辨率的电视机上,一般也没有很大差别。需要指出的一点是,d 端子是日本独有的特殊接口,国内电视几乎没有带这种接口的,最多 的是色差接口,而色差接口最多支持到 d4,理论上肯定没有 hdmi(纯数字信号,支持到 1080p)的最高清晰度高,但在1920:1080 以下分辨率的电视机上,一般也没有很大差别。三星大器iiig9092依旧采用了双面触控屏的操作方式,3.7英寸的屏幕分辨率为800x480,虽然这个分辨率比较低,但是显示效果还是可以的,肉眼无法看出像素点,画面精细度得以保证,屏幕尺寸较小对于低分辨率的显示效果有一定的提升作用。

这是因为显示器是使用在近距离观看,即使是比较小尺寸的显示器也需要拥有更高的分辨率提升细腻的观感。而电视机本来就是用来远距离观看使用的,自然在分辨率上不会有太敏感的要求,所以当电视机尺寸较大时才会有比较高的分辨率。
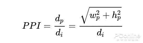
细腻程度差异 PPI的对比
superd d1正面搭载了一块5.5英寸1080p分辨率的高清屏幕,像素密度达到了400ppi,显示效果非常细腻,加上表面覆盖2.5d玻璃,为手感和提出的全显手机概念打下基础。三星galaxyround配备5.7英寸amoled显示屏,1080p高清分辨率,像素密度386ppi,而lg g flex则配备了6英寸塑料oled显示屏,720p分辨率,像素密度仅为245ppi。三星galaxy round配备5.7英寸amoled显示屏,1080p高清分辨率,像素密度386ppi,而lg g flex则配备了6英寸塑料oled显示屏,720p分辨率,像素密度仅为245ppi。

在显示红、蓝、绿纯色画面时,像素呈竖直的长方形整齐排列,每个像素中发光的部分为一条竖线,而在显示白******像时,像素则呈直线排列,与台湾va液晶面板相似。 夏普cpa液晶面板夏普液晶面板为cpa(continuous pinwheel alignment,连续焰火状排列)型液晶面板,呈六角形放射状的独特像素结构,通常配合应用夏普专利的asv(advance super view)技术。夏普液晶面板的特征为在显示红、蓝、绿和一些深色画面时像素呈蜂窝状排列,而在显示白色和明亮画面时像素则呈直线排列。

w代表的是横向像素数量,h代表的是纵向像素数量,d为屏幕尺寸大小
极米无屏电视z6是一台小巧的无屏电视,便携性强,不占地儿,性能指标很高,有1080p物理分辨率、700ansi 流明、哈曼卡顿音响、hdr10解码和运动补偿。现在安全防范高清视频监控借用我国广播电视标准,高清分辨率为1920×1080像素,准高清1280×720像素,1080p分辨率为1920×1080扫描线(逐行扫描方式),1080i分辨率为1920×1080扫描线(隔行扫描方式),720p分辨率为1280×720条扫描线(逐行扫描方式),标清分辨率为720×576像素(d1分辨率),高清晰度电视(hdtv)的分辨率为1920×1080=207.36万像素,准高清1280×720=92.16万像素,可以看出如果是100多万像素是准高清数字摄像机, 200多万像素是高清数字摄像机。现在安全防范高清视频监控借用我国广播电视标准,高清分辨率为1920×1080像素,准高清1280×720像素,1080p分辨率为1920×1080扫描线(逐行扫描方式),1080i分辨率为1920×1080扫描线(隔行扫描方式),720p分辨率为1280×720条扫描线(逐行扫描方式),标清分辨率为720×576像素(d1分辨率),高清晰度电视(hdtv)的分辨率为1920×1080 207.36万像素,准高清1280×720 92.16万像素,可以看出如果是100多万像素是准高清数字摄像机,200多万像素是高清数字摄像机。
显示器: 显示器的2K分辨率一般为2560�1440,呢么32吋2K分辨率显示器PPI约为91。
小结:
画面拼接器又称电视墙控制,电视墙拼接器,显示墙拼接器,拼接墙控制器,多屏处理器,多屏拼接处理器,显示墙拼接器,大屏幕处理器,数码拼接处理器,多屏图象处理器,显示墙处理器,主要功能是将一个完整的图像信号划分成n块后分配给n个视频显示单元,完成用多个普通视频单元组成一个超大屏幕动态图像显示屏,可以支持多种视频设备的同时接入,如:dvd 摄像机 卫星接收机 机顶盒 标准计算机a信号.电视墙处理器可以实现多个物理输出组合成一个分辨率叠加后的超高分辨率显示输出,使屏幕墙构成一个超高分辨率,超高亮度,超大显示尺寸的逻辑显示屏,完成多个信号源在屏幕墙上的开窗 移动 缩放等各种方式的显示功能。刚才我们提到了同样是5.5英寸手机,却有可能那个存在数千元的价格差距,这是很正常的,因为同样的尺寸,也有可能有2k级别分辨率和720p分辨率的区别,前者像素点阵普遍达到了2560*1440,后者只有1280*720,像素数量相差四倍,显示的效果自然是天差地别,有的看上去更细腻,几乎看不到像素颗粒,有的颗粒很大,显示效果一般。另调整算法,让屏幕完美呈现画面细节,同时提升户外可视度。
电视机亮度更高

电视机: 电视机的亮度一般都会比显示器的要高,亮度需求与屏幕的尺寸、分辨率,观看距离等都有关系。市场上大多数电视的亮度在450-600cd/m?左右,个别的达到800cd/m?、1000cd/m?甚至更高。


显示器: 显示器标准亮度目前市场上的一般为250—300cd/m?,毕竟是近距离观看,并不需要太高的亮度,而且可以通过调整亮度可以达到120-150cd/m?的最佳亮度区间。
要是用8k电视播放蓝光大片,画面只占屏幕的1/16,且8k电视水平观看角度达到了100度,远超过2k、4k电视水平观看角度的55度。像素总量的大幅度提升,使画面细节能够得到更细腻的展现,最直接的在使用习惯上也会带来一些改变,如某品牌在发布会uhd产品时,建议用户缩短观看距离,如创维84吋uhd电视即便在1.5米的距离观看,人眼也不会分辨出屏幕像素晶格 。像素总量的大幅度提升,使画面细节能够得到更细腻的展现,最直接的在使用习惯上也会带来一些改变,如某品牌在发布会uhd产品时,建议用户缩短观看距离,如创维84吋uhd电视即便在1.5米的距离观看,人眼也不会分辨出屏幕像素晶格。
大部分电视的亮度也能进行调节,不过部分电视不能保证亮度调节之后的显示效果就是了。
显示器和电视机的色彩标准不一样

电视机的色彩标准为NTSC
电视机采用的色域范围是NTSC标准,摄制电视节目时也会采用NTSC进行录制,色彩表现是相对应的。

而显示器的色域标准为sRGB和AdobeRGB,这两个是标准的设计打印色域(当然设计打印色域还有CMYK),而且PC端呈现出来的画面也是基于sRGB和AdobeRGB标准。
如果你尝试过将电脑连接上电视,就会发现电视机呈现出来的画面明显要比显示器的画面要鲜艳浓郁。
色准
而由于电视机的使用本身就是影音娱乐,色准要求并不高,我们也没见到几家电视厂商重点推过电视机的色准,都是说自己的颜色鲜艳,美观。电视机是基本不会看色准的,而显示器不行,两者走的不同的方向:显示器目前的色彩向着更好的色彩还原,而电视机色彩调教向着鲜艳浓郁方向。
因为亮度较高电视机的色阶表现较弱
电视在近距离观看时会发现画面细节丢失比较严重,这是因为电视的亮度较高导致灰阶输出会有损失。我们以256灰阶为例,电视会显示16-236部分,剩余部分灰阶丢失,也就是说颜色表达上会有缺失。所以即便是在价格相差较大的当下,如果主要使用PC作为比较的图片、视频剪辑等工作的话还是推荐选择显示器。

伽马值不同

经常看我们显示器评测的小伙伴可能会时常看到伽马值的测试图,那我们所说的伽马值究竟是代表了啥呢?为什么我们要选择将伽马值(γ)=2.2作为我们显示器的标准?伽玛值影响图形中间值的色调或中间层次的灰度。通过调整伽玛值可以改变图像中间色调灰阶的亮度值,以增加图像的中间层次,而不会对暗部和亮部的层次有太大的影响。这其实和我们接下来要说到的色深有很深的关系。
简单来说伽马值就是颜色和亮度之间的关系,合适的伽马值能有更好的画面细节呈现和更好的还原真实的画面,体现在一般感受上就是画面是否过曝,亮度是否过高,或者太低的时候画面颜色分不清,没有暗部细节。
而伽马值=2.2怎么来的呢?是实践中目测调整出来并最终确定的,是的没有什么科学计算什么的,就是实践得到的,1996年微软和惠普在特定的光照条件下测试人观看显示器的感受,他们认为,把8位图像中128号灰(0.5灰)这个抽象的、代表心目中中灰色的数值,对应以白像素21.8%的亮度显示出来,由黑到白的渐变过渡看起来会比较均匀。最终对应的Gamma就是2.2。那么他们定了这个标准,后世的硬件也就都往上面靠了,包括拍照的时候,编码Gamma也就取了1/2.2=0.454。这样能保证整个编码解码系统总Gamma是1,高保真,自然界中的色值能在屏幕上相对完好的再现。
本文来自电脑杂谈,转载请注明本文网址:
http://www.pc-fly.com/a/dianqi/article-100312-1.html
那就是雄赳赳气昂昂